One of the fallacies perpetrated by the age of digitization is that anything worth scanning into an online database already has been. This is, of course, laughable. Even the most well-funded research libraries (or should I say, particularly the most well-funded research libraries) have cubic fathoms of storage space taken up by the superfluous, the redundant, the extant, and the strange. Ask any historian who’s done sustained archival research about the weirdest thing s/he has seen and you’ll get a good story. Probably it won’t even be related to the kind of work s/he does, but something stumbled upon by accident. Archival research is in many ways a weird endeavor–its feels like going through somebody’s mail in a way, even though you know the box in front of you was donated expressly for those who come after to try and make some sense of that which came before. We are so often the poorest judges of the lives we lead.
I’ve come across plenty of strange stuff, both of the why-the-hell-would-someone-keep-this and the what-in-the-name-of-Zeus-is-this variety. Electrician repair bills from the late 1920s with line items that compel me to believe said house burned down shortly thereafter, strange pictures of animals or vistas with no accompanying context or explanation, written ephemera that is both bizarre and disturbing. That kind of thing. Inevitably it makes me wonder what kind of picture would emerge of my life if all someone had was a dozen boxes of the stuff that defined my life in all its intention, abstraction, and banality.
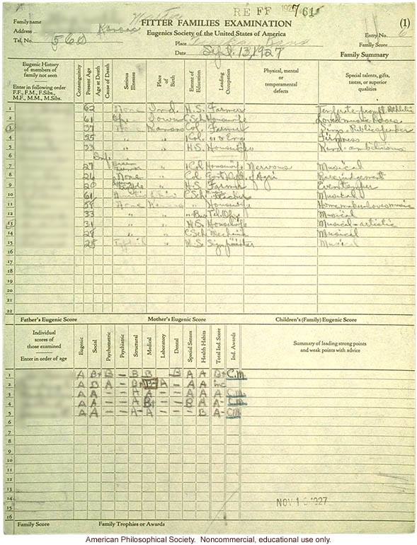
The pamphlet pictured above is neither of the former, but of a different class of material culture history. Despite little evidence of a measurable market–academic or otherwise– and the de-legitimization of its premises by both genetics and changing cultural norms, it simply refused to go away. A testament to that fact is that its author, Kansas-born artist Corydon Granger Snyder, self-published 8 editions between 1928 and 1952.
Most of the time, anthropometry is discussed as a late-nineteenth or early twentieth-century phenomenon with perhaps its best-known footprints laid in craniometry, phrenology, and criminology, though it remained a practice with a far longer arm across the world than is commonly acknowledged even by historians of science and medicine (chronologically, intellectually, and institutionally). Snyder’s little text is proof of an incarnation which remained intimately bound with another scientific bogeyman of the first half of the twentieth century: eugenics.
Split into roughly halves, the first section of the text above sets the foundation for the second and proposes three roughly discrete but interlocking projects to be undertaken: first, that there exists an objective, quantifiable, and universally valid notion of beauty; second, that society can, and should, strive to increase its number of beautiful people and (its inevitable corollary) decrease the number of “homely” people; and third and finally, that the mechanism by which to achieve this project exists if we combine the aesthetic and tools of classical art and those of the science of genetics.
To effect greater numbers of the beautiful, regular, and proportional continues in the 1952 edition the motivation behind the first edition of the text, and is expressed in its original 1928 title: Beautiful Children from Homely Parents: If They Are Opposites (1928). It also serves as a bridge to the dual problems, in Snyder’s estimation, that his project solves: first, one which provides a systematic and authoritative exploration of beauty as it relates to type, and both as they impact reproduction. Throughout the course of the pamphlet is becomes abundantly clear that his underlying concern also engages the eugenic impulse and thus places Art and Human Genetics next to other neo-eugenic Malthusian treatises of the postwar era (like Fairfield Osborn’s Our Plundered Planet and William Vogt’s Road to Survival, both published in 1948). Just one excerpt that demonstrates this comes midway through:
It is hardly desirable in this day and age to breed a race of giants. In fact it has been stated by scientists that in the not far distant future it may be necessary to breed a smaller race in order to offset the fast diminishing food supply. It is to be hoped, however, that before that time we have a rational birth control.
Eugenics–even more than most intellectual movements–was polysemic its heyday; following it into the postwar world demonstrates how adaptable ontologies of hereditary worth which confound simple chronological, disciplinary, and rhetorical categorization really were.
The casual reading might erroneously suggest that, despite half its title, in fact there is little genetics contained within. There is no discussion of genetic mutation, alleles, or population statistics. But a closer look reveals that Snyder in fact remains very much concerned with the particulars of how genetics might be marshalled to improve the human race. Four short quotations illustrate this. On regression towards a mean, he writes:
In writings on eugenics a great deal has been said regarding height, color of hair and eyes, but little on the feature and nothing on the possibility of opposite extremes equalizing the features and creating a normal type in their offspring.
Again on regression, as a caption to profile sketches of a nuclear family with three children, he asserts (capitalization in original):
When EACH of the parents has one or more IRREGULAR features, but which are OPPOSITE to each other’s, the children will have features that are more nearly REGULAR than either of the parents.
One more time on regression, but with some injection of Mendelian inheritance:
Coming back again to the matter of facial proportions, let us first consider the fact that the children of parents having opposite extremes in features may quite closely resemble one of the parents. The chances are that at least one in three will. Nevertheless, there will be some correction towards the regular type of features. And in another generation, care in respect to any objectionable feature will remove it entirely as a family tendency.
Lastly, a clearer formulation of Mendelian inheritance, from the standpoint of art:
When one parent has REGULAR features, and the other parent has ONE or more IRREGULAR features, the children will all resemble the IRREGULAR FEATURED parent. This is because the REGULAR FEATURED parent is really a NEUTRAL, and has little or no effect in modifying the IRREGULAR features of the other parent.
Snyder’s terminology here is easily translatable to the realm of genetics, with “neutral” indicating a heterozygous parent (with one dominant and one recessive gene), and “regular” and “irregular” indicating pure recessive and dominant homozygosity, respectively. It appears that “irregularity” is the dominant trait for Snyder, for even one irregular feature dooms the next generation to the same irregularity of features. The text itself is bracketed by diagrams showing the measuring of heads, and the second half of Art
It might seem to some that Art and Human Genetics is nothing more than a peculiarly archaic but ultimately harmless pamphlet, the work of a self-employed artist at the twilight of his career feeling left behind in the modern world. But what lies behind this seemingly nostalgic but facile treatment of opposite types and marital compatibility is in actuality nothing less than an attempt to unearth the racial typology of physical anthropology, phrenology, and their far more insidious progeny: eugenics.
And so tracing individuals like Snyder after World War Two allows us to follow eugenic notions and arguments with a flashlight as they scurried to inhabit new disciplinary frameworks and discourses in the post-WWI world. To say eugenics in America after 1945 existed as a shadow of its former self is both far from and tantalizingly close to the truth; it would be far more accurate to say postwar eugenics existed as shadows of its former self, conspecific incarnations which broke off to occupy new intellectual and cultural spaces. The move was painful, cladogenetic, and rife with the ghosts (both literally and figuratively) of the past. But eugenics was a powerful idea. And ideas, unlike life, are not so easily destroyed.







